首页 / 交易规则/ 业务规则

重庆药品交易所监督管理委员会关于印发重庆药品交易所基本药物电子交易细则的通知

发布者:2011-12-12 发布时间:2011-12-12

重庆药品交易所监督管理委员会文件

渝药交监管委发〔2011〕1号



 

重庆药品交易所监督管理委员会

关于印发重庆药品交易所基本药物

电子交易细则的通知

 

各成员单位,各区县(自治县)卫生局,北部新区社发局,市级各医疗卫生单位,第三军医大各附属医院,解放军324医院,武警重庆总队医院,大型企事业单位职工医院,各药品生产、经营企业:

    《重庆药品交易所基本药物电子交易细则(试行)》已经市政府同意,现印发给你们,请认真贯彻落实。

 

 

 

                                                重庆药品交易所监督管理委员会

                                                    重庆市卫生局(代章)

 (信息公开形式:主动公开)       

                                                   二〇一一年十二月十二日

 

 


 

重庆药品交易所基本药物电子交易细则(试 行)

第一章   总  则

    第一条  为建立基本药物供应保障体系,规范基本药物采购行为,根据国务院《建立和规范政府办基层医疗卫生机构基本药物采购机制的指导意见》(国办发〔2010〕56号)和《重庆药品交易所管理暂行办法》《重庆药品交易所药品交易规则(试行)》,制定本细则。

    第二条  基本药物交易活动遵循政府主导、信息公开、流程透明、公平交易的原则。

    第三条  基本药物采用电子挂牌方式进行交易。

    第四条  只有取得重庆药品交易所(以下简称药交所)会员资格且符合基本药物交易条件的药品生产企业、经营企业、医疗卫生机构、药品采购会员联合体等,方可参与基本药物交易。

    第五条  会员必须严格遵守《中华人民共和国药品管理法》等相关法律法规的规定。

 

第二章  会员注册

    第六条  参与基本药物交易的会员注册适用《重庆药品交易所会员注册管理办法(试行)》并须提供以下材料:

    (一)省级食品药品监管部门出具的卖方会员已加入药品电子监管网,按规定进行基本药物赋码的证明文件。

    (二)省级食品药品监管部门出具的配送会员已加入药品电子监管网,按规定进行基本药物赋码核注核销的证明文件。

    (三)生产经营企业出具的保证其申报配送片区覆盖全部基层医疗卫生机构的承诺文件。跨省(自治区、直辖市)进行基本药物配送的,提供买方会员所在地省级食品药品监管部门出具的批准文件。

    第七条  符合基本药物配送条件并经审查合格的配送会员名单由药交所发布。

    第八条  药品采购会员联合体(以下简称联合体)注册须具备下列条件:

    (一)联合体成员单位与联合体签订的基本药物采购委托代理协议;

    (二)联合体所在地政府相关部门出具的,授权履行会员联合体职责的批文。

    第九条  联合体职责

    (一)负责为成员单位在药交所代理注册买方会员;

    (二)负责组织成员单位推荐本片区可供选择的配送会员;

    (三)负责组织成员单位采用多种形式与卖方会员进行议价,并代其成员单位签订买卖配三方确认的基本药物电子采购合同;

    (四)负责督促并汇缴成员单位药品采购货款;

    (五)督促、监管成员单位履行合同。

 

第三章  挂牌范围及类别

    第十条  挂牌范围

    《国家基本药物目录》以及买方会员所在省(自治区、直辖市)增补基本药物目录中除麻醉药品、精神药品、国家免费治疗的传染病和寄生虫病用药、免疫规划用疫苗、计划生育药品以及中药饮片外的全部药品。

    第十一条  挂牌类别

    基本药物分为《基本药物常用品规》《基本药物低廉价品规》《基本药物备选品规》三个类别挂牌。

    (一)基本药物范围的品规,接受常用品规统一入市价的,可申报进入《基本药物常用品规》挂牌。

    (二)基本药物范围的低廉价品规,按政府相关部门制定的《基本药物低廉价品规》管理办法申报挂牌。

    (三)基本药物范围的品规,符合《基本药物备选品规》条件的(详见附件1),可以选择申报进入《基本药物备选品规》挂牌。

    (四)买方会员采购及使用《基本药物常用品规》《基本药物低廉价品规》《基本药物备选品规》中的药品,具体办法由市政府有关部门另行制定。

药交所对《基本药物备选品规》中药品的价格及交易情况进行重点监控和定期公示,并报市政府有关部门备案。

 

第四章  入市价管理

    第十二条  数据来源

    (一)申报挂牌时,当期数据采集时点前收集到的各省(自治区、直辖市)根据国办发〔2010〕56号文件精神指导产生的基本药物集中采购执行期有效中标价格。

    (二)申报挂牌时,在基本药物数据范围内无中标价格的品种,采用当期数据采集时点前收集到的各省(自治区、直辖市)非基本药物集中采购执行期有效中标价格(《基本药物常用品规》价格计算时区别定价品种中标价格不予采用)。

    (三)数据来源范围省(自治区、直辖市)中标价格中有下列情况之一的不予采用:

    1.按照国家规定顺加差价率后其零售指导价格超过价格主管部门规定的;

    2.省(自治区、直辖市)药品集中采购机构证明,采集数据药品以该中标价在中标地区自中标后至今一年以上没有发生实际交易的;

    3.省(自治区、直辖市)药品集中采购机构证明,采集数据药品中标价在中标执行期内,在该省的中标价已变更或撤标的;

    4.各省(自治区、直辖市)基本药物和非基本药物集中采购执行期,国家或省级食品药品监管部门质量公告为假、劣药品的中标价格。

    第十三条  数据使用原则

    (一)基本药物数据采集范围内有中标数据的,只以基本药物的中标数据计算。

    (二)基本药物数据采集范围内无中标数据的,以非基本药物的中标数据计算。

    第十四条  入市价计算原则(详见附件2)。

    第十五条  《基本药物常用品规》入市价制定

    (一)数据来源范围基药数据剔除均价偏离值-20%的数据,非基药数据剔除均价偏离值+30%的数据。

    (二)同通用名、同剂型项下有中标数据的:

    1.采集数据范围内同品规所有生产企业中标价格均价作为该品规的入市价。

    2.采集数据范围内无中标数据的品规,以已有中标数据的同通用名、同剂型最邻近规格为代表品,最邻近规格有双向选择时,以小规格为代表品,差比计算该品规入市价。

    (三)采集数据范围内同通用名、同剂型项下无中标数据,但同通用名项下其他剂型有中标数据的:

    1.采用同通用名项下已有中标数据剂型中的相同规格为代表品差比计算待求剂型项下规格的入市价。

    2.同通用名项下已有中标数据剂型中无相同规格的,以已有中标数据剂型中最邻近规格为代表品,最邻近规格有双向选择时,以小规格为代表品,差比计算待求剂型项下规格的入市价。

    3.同通用名项下不同剂型差比计算的选择原则按照国家发展和改革委员会《药品差比价规则》执行。

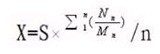
    (四)采集数据范围内同通用名项下无任何中标数据的品规,按系数计算公式计算其入市价:    

 

N:基本药物同药理作用分类项(中成药按用药科属分类)下已知入市价品规的入市价;M:基本药物同药理分类项(中成药按用药科属分类)下已知入市价品规的最高零售价;n:基本药物同药理分类项(中成药按用药科属分类)下已知入市价品规个数;S:待求剂型项下最小品规的最高零售价;X:待求剂型项下最小品规的入市价。

    系数制定入市价的,可根据申报品规各省(自治区、直辖市)新的集中采购执行期有效中标价格,按入市价制定规则进行调整。

    (五)同通用名、同剂型、同规格、不同生产企业品种入市价相同,且计算入市价不高于价格主管部门规定的基本药物零售指导价扣除差价或差价额后的价格。

    (六)同通用名、同剂型下,计算的入市价小规格高于大规格时,取小规格价格为调平标准,差比计算大规格入市价。

    第十六条  《基本药物备选品规》入市价制定

    根据本细则数据来源规定的采集范围及进入条件分组,按照《重庆药品交易所药品电子挂牌交易细则(试行修订版)》第九条相关规定确定代表品,并确定相应品规入市价。

 

第五章  挂牌管理

    第十七条  申报程序

    (一)药交所根据本细则发布基本药物品种目录。

    (二)卖方会员登录药交所网站(http://www.cqyjs.com),按《重庆药品交易所基本药物产品申报指南》要求,维护申报产品的基础信息。

    (三)药交所对卖方会员网上申报的产品信息和证明材料进行审核并制定入市价,审核通过并接受入市价的由卖方会员确认后进入《基本药物常用品规》挂牌。

    (四)不接受《基本药物常用品规》入市价但符合其他类别申报挂牌条件的产品,可在网上选择符合条件的相应类别填写相关信息,重新进入申报流程。

    (五)卖方会员在电子交易平台选择配送会员建立委托配送关系并对申报产品以不高于入市价的价格挂牌。

    第十八条  挂牌基本药物有以下情况之一的,会员可申请撤销挂牌:

    (一)因各种原因不能正常生产的。

    (二)该产品退出市场,不再销售的。

    (三)因各种原因,挂牌产品不再具备挂牌资质要求的。

    (四)药交所规定的其他情况。

    第十九条  挂牌基本药物上市不满一年期撤销挂牌的品规,须按照药交所规定提交书面申请,自撤销生效之日起两年内不能重新申报基本药物挂牌。签订有合同的,交易合同自动终止且卖方须承担相应的法律责任。

    第二十条  挂牌基本药物品规,因各种原因暂时不能正常生产的,会员可申请暂停挂牌。申请暂停挂牌的品规须按照药交所规定提交书面申请,且卖方须承担相应的法律责任。

    第二十一条  会员违反法律、法规及药交所相关规定,药交所有权取消其相关品规挂牌或暂停其相关品规挂牌。

    (一)会员有下列行为之一的取消其相关品规的挂牌。

    1.递交虚假材料骗取产品挂牌资格的;

    2.食品药品监管部门撤销药品注册批件、生产批件、GMP认证证书以及违法违规的;

    3.药交所规定的其他情况。

    (二)会员有下列情况之一的暂停其相关品规的挂牌。

    1.GMP证书、生产批件、进口药品注册证或医药产品注册证过期且在证件有效期内生产(进口)的品规有效期不足 6个月的;

    2.药品价格或资质信息需要核实的;

    3.药交所规定的其它情况。

    第二十二条  药交所取消挂牌品规自取消生效之日起两年内不能重新申报基本药物挂牌;暂停挂牌品规经药交所核准后可复牌;取消挂牌的品规,交易合同自动终止,且卖方须承担相应的法律责任;暂停挂牌的品规,买方会员可申请终止合同。

 

第六章  价格管理

    第二十三条  挂牌价管理

基本药物药品 的挂牌价必须同时满足下列规定:

    (一)不高于同品规、同厂牌药交所制定的入市价;

    (二)不高于同品规、同厂牌当期数据采集使用范围内各省(自治区、直辖市)基本药物集中采购执行期有效中标均价;

    (三)不高于同品规、同厂牌当期数据采集的买方会员所在省(自治区、直辖市)市场实际购销价;

    (四)同通用名、同剂型、同厂牌,小规格挂牌价不高于大规格挂牌价;

    (五)《基本药物常用品规》同品规、同厂牌无中标价的挂牌价不得高于同品规其他厂家挂牌限价的均价。

    第二十四条  成交价管理

    成交价是买卖双方会员签订基本药物电子采购合同约定的实际交易价格,成交价不得高于挂牌价。基本药物电子采购合同有效期内,挂牌价调整后低于合同约定成交价的,合同成交价自动更新为新挂牌价。

    第二十五条  入市价管理

    (一)药交所根据价格主管部门价格政策变动情况和市场变动等情况,对入市价进行动态调整,对交易量大、入市价在国内市场偏高的可以采取集中议价、比价、竞价等方式进行调整。

    (二)价格主管部门发布文件调高品规定价,药交所按相同比例上调入市价,该品规挂牌价可相应上调;价格主管部门发布文件调低品规定价,药交所调整入市价须低于价格主管部门公布的最新零售指导价扣除差价率或差价额后的价格。

    (三)如发生市场价格变动,药交所将参考定期采集的各省(自治区、直辖市)基本药物和非基本药物集中采购有效期中标价格、买方会员所在省(自治区、直辖市)市场实际购销价格、基本药物挂牌交易成交价格、生产企业实际出厂价格等,按照相关规定调整入市价。

    第二十六条  零售价管理

    实施基本药物制度的政府办基层医疗卫生机构按实际成交价实行“零差率”销售,其它医疗机构以实际成交价购进药品后,按照价格主管部门规定的药品价格政策销售。

 

第七章  交易管理

    第二十七条  挂牌基本药物供应需满足所有买方会员的需求。

    第二十八条  挂牌基本药物应符合《中华人民共和国药典》和国家药品监督管理部门规定的标准。卖方会员是药品质量保障的第一责任人。 

    第二十九条  基本药物交易须签订买卖配三方确认的基本药物电子采购合同,合同内容含药品通用名、剂型、规格、厂牌、成交价、数量或者供货区域、价格、供货时间和地点、委托配送会员、付款时间、违约责任等,合同有效时限原则上不得少于一年;买方会员只能按照基本药物电子采购合同生成采购订单。

    第三十条  县级及以上医疗卫生机构是否委托药品采购会员联合体签订基本药物电子采购合同,由当地政府部门规定;基层医疗卫生机构会员原则上委托药品采购会员联合体签订基本药物电子采购合同。

    第三十一条  买方会员采购基本药物,应遵守以下原则:

    (一) 守法合规原则。采购基本药物应符合国家法律、法规、政策及药交所相关规定;遵守买方会员所在省(自治区、直辖市)政府相关部门对医疗机构采购、使用基本药物的具体规定。

    (二)公开择优原则。参考药交所挂牌基本药物品规卖方会员、配送会员等综合信息,公开、择优选择质量可靠、能够保障供应和配送的药品,签订基本药物电子采购合同。

    (三)价格合理原则。按照本细则相关规定,参考买方会员或者药品采购会员联合体所在区域的市场实际购销价,选择价格合理的挂牌基本药物品规进行采购或进行价格谈判后再行采购。

    第三十二条  基本药物电子采购合同签订后,卖方会员须按省级食品药品监管部门规定的时间将交易品规样品送其指定仓库备案,未备案或者发生药品质量问题,由食品药品监管部门依法处理。

    第三十三条  卖方会员是药品供应保障第一责任人,基本药物电子采购合同有效期内,发生不供货、不配送情况,卖方会员要承担由此产生的法律责任。若系配送会员原因导致违约,则卖方会员可向配送会员追诉。

 

第八章  交收管理

    第三十四条  挂牌基本药物覆盖的省级配送区域内,以区县(自治县)行政区为单位划分配送片区,也可以会员联合体形式多配送片区组成一个联合配送片区,各配送片区基本药物配送会员名额由药交所按相关规定公布。

    第三十五条  卖方会员可直接配送或在配送片区推荐的范围内委托配送会员配送,对该配送片区没有加入联合体的全部买方会员,卖方会员可以另行委托规定名额的配送会员配送。配送会员接受委托后,不得转委托。卖方会员与配送会员签订委托配送协议时,应明确委托事项、覆盖片区、配送费率等。

    第三十六条  基本药物电子采购合同签订前的委托配送协议双方不约定生效时间,会员可以单方面撤销;买卖配三方确认的基本药物电子采购合同签订后,委托配送协议作为合同的附件,具有同等效力;合同有效期内申请撤销合同的当事会员,须提交三方协议或生效法律文书,经药交所审核备案后才能撤销。

    第三十七条  除急救药品外,基层医疗卫生机构原则上每月发出采购订单不超过3次;配送会员应在4个工作小时内响应。订单一经响应,买方会员不得单方面修改和撤销。

    第三十八条  配送会员在药品出库时,必须登录电子交易平台录入或导入批号、效期等信息,进行出库确认。

    第三十九条  配送会员配送药品,自买方会员下达订单之时起,急救药品4小时内送达,国家法定节假日照常配送;一般药品24小时内送达,最迟不超过72小时。自行协商配送时限的除外。

    第四十条  药品送达买方会员指定交收仓库后,买方会员应按规定进行验收,并在验收当日登录电子交易平台进行收货确认,并对配送满意度等进行客观评价。

    第四十一条  基本药物退货流程参照《重庆药品交易所药品交收细则》执行。

 

第九章  结算管理

    第四十二条  会员交易货款须通过药交所结算中心统一结算。

    药品采购联合体成员单位交易货款由联合体负责汇缴至药交所结算中心专用结算账户,并通过药交所结算系统进行货款支付。

    第四十三条  药交所结算中心为会员联合体及其成员单位开立交易账户,按日序时登记核算每一会员应收应付款项。

    第四十四条  药品交收后,发票最迟于次月5日前送达买方会员。买方会员应在收到发票当日,通过药交所电子交易平台进行收票确认。

    第四十五条  会员及联合体支付货款时间从收票之日起计算,最长不得超过60天。

    第四十六条  药交所结算中心自收到会员交易货款之日起3个工作日内,对其应收应付款项等进行清算,并完成资金划拨。

    第四十七条  会员之间发生符合药交所规定的退货情况的,其退货货款结算应在该合同应付货款结算之后,实行应收应付分离和操作流程分离。

    第四十八条  买方会员委托会员联合体结算后,其在药交所电子交易平台的应收、应付款项由会员联合体进行代收代付,并按照本细则规定和会员联合体具体要求,及时进行货款结算。

    第四十九条  买方会员及会员联合体交易货款结算的其他规定适用《重庆药品交易所药品交易结算细则(试行)》。

 

第十章  附  则

    第五十条  基本药物交易、配送、结算过程中出现的会员违规违约行为,按照《重庆药品交易所监督管理办法》《重庆药品交易所交易行为监督管理实施细则》等相关规定处理。

    第五十一条  本细则的解释权归重庆药品交易所监督管理委员会办公室。

    第五十二条  本细则自发布之日起实施。

 

 

 

 

 

附件:1.《基本药物备选品规》申报条件

      2.入市价计算原则

 

 

附件1

 

《基本药物备选品规》申报条件

 

    一、专利药品、保护期或监测期内一类新药、行政保护期内药品,2003年以来获国务院颁发的国家科技进步一等奖药品。

    二、原研药品、2003年以来获国务院颁发的国家科技进步二等奖药品、国家发改委和买方会员所在省(自治区、直辖市)价格主管部门规定的基本药物范围区别定价品规。

    三、获得美国FDA认证证书、欧盟cGMP认证证书、日本JGMP认证证书,并进入欧、美、日主流市场实际发生销售的国产药品(仅指药物制剂,不包括原料药)。

 

名词解释:

 

    1.专利药品:指由中华人民共和国承认的,且在保护期内的化合物、药物组合物、天然提取物、微生物及其代谢物的专利,但中成药的相关专利不视为本细则所认可的专利药品。

    化合物专利:为新化合物专利,在权利要求书中应当有化合物的名称、结构或分子式等关键表征,保护的对象是化合物本身, 不包括权利要求书中记载的化合物与现有技术相对比区别技术特征仅为改变或改善给药途径的化合物专利。即表示该成分为申报厂家所研发或所获得之前,未被以任何形式公开。其中,仅以结构中以增加水溶性、脂溶性、延缓或加快药物体内溶解时间等为目的的结构修饰,例如增加酸根,盐基、水合物或原有化合物晶型变化等,不视为细则中所指化合物专利。

    组合物专利:指对两种或两种以上的药物有效成分组成的专利(药物复方专利),在权利要求书和专利说明书中明确表述其为组合物专利,权利要求书中记载的药物组合物成分应当和申报资料中药品说明书中记载的药物有效成分或主要成分一致,不包括权利要求书中记载的药物组合物与现有技术相对比区别技术特征仅为辅料发生变化的药物组合物。属于仅用途、剂型改变,但组方原已存在(即新用途)专利不视为细则中所指组合物专利。

    天然提取物专利:指首次从自然界分离或提取出来的物质的保护专利,该物质结构、形态或者其它物理化学参数等应在其专利文件中被确切地表征;属于提取方法的专利不视为细则中天然提取物专利。

    微生物及其代谢物专利:是指对细菌、放线菌、真菌、病毒、原生动物、藻类等微生物种经过筛选、突变、重组等方法得到并分离的纯培养物和其代谢物质的保护专利。

仅为外观设计、实用新型或工艺流程、疗效、制备方法等专利药品,不视为本细则所指专利药品。

 

    2.原研药品:指过了上述所指专利品种保护期和行政保护期的药品。

 

    3.区别定价药品:指国家发展改革委及买方会员所在省(区、市)价格主管部门按照规定权限制定公布的价格,标注有特定企业生产供应以及“水、电解质平衡调节药物”中标注“软袋双阀、软袋双阀双层无菌包装、塑料安瓿”的药品和滴眼剂中标注“含玻璃酸钠”的药品。

 

    4.行政保护期药品:指取得国务院药品生产经营行政主管部门颁发的《药品行政保护》证书的药品。

 

 

附件2

入市价计算原则

 

    一、主要计算原则

    本规则计算入市价按照价格主管部门制定的药品剂型及规格差比价规则执行。

    二、其他计算原则

    (一)化学药品按单方与复方制剂分别计算差比价。

    (二)带附加装置(如加药器、冲洗器、独立注射器、注射溶媒等)的药品以不带装置的品种数据进行计算,与不带装置的品种不单独计算差比价,执行不带装置品种的价格。

    (三)干扰素、胸腺肽等含不同亚型的药品,按药理作用、临床用途不同分别计算差比价(如:干扰素α-1a、α-2a、α-1b、α-2b、γ等;胸腺肽中胸腺肽α及胸腺肽F)。

    (四)滴鼻剂、滴眼剂、眼膏剂等含玻璃酸钠与不含玻璃酸钠分别计算差比价。

    (五)主要成分含牛黄、麝香的品种,按天然(含体外培育,须提供国家有关部门的证明文件)与人工分别计算差比价。

    (六)气雾剂、粉雾剂、喷雾剂、雾化溶液剂含氟利昂与不含氟利昂分别计算差比价。

    (七)其他计算原则不能囊括的特殊情况,按照价格主管部门价格文件的规定进行计算。

 

 

 

 


主题词:卫生  基药  制度  通知  


抄送:市委办公厅,市人大常委会办公厅,市政府办公厅,市政协办公厅。


重庆药品交易所监管委员会办公室                      2011年12月12日印发


 

Copyright 2011-2021 365bet比分网(www.dx9580.com) All Rights Reserved 渝ICP备10202021-2

互联网药品交易服务资格证书 国A20130002互联网药品信息服务资格证书 (渝)-经营性-2013-0003 增值电信业务经营许可证 渝B2-20140006

药交所地址:重庆市渝中区民族路101号重庆交易大厦2楼    电话:023-63835799